
Overrides can be used to apply rules to chart elements based on their row and column numbers overriding existing rules such as the color model and visual effects.
To apply an override to a chart, simply create an instance of an UltraChart.Resources.Appearance.Override object, set its properties, and add it to the UltraChart.Override collection.
Overrides are affected by the following properties:
Override.Row : The data row index to match this override to. To match all rows, set this property to -2.
Override.Column : The data column index to match this override to. To match all columns, set this property to -2.
Override.Enabled : Determines whether or not the override is active. Toggling this property between True and False is a simple way to turn the Override "on" and "off".
Override.PE : The PaintElement to apply to primitives matching this Override’s row and column. All Primitives in the SceneGraph, such as Boxes , Ellipses , and Polylines , will have this PaintElement applied to them if they match the Override’s row and column property settings.
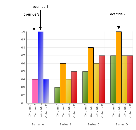
Below is an image of Overrides in action and the sample code used to apply these overrides to a chart.
In Visual Basic:
Imports Infragistics.UltraChart.Resources.Appearance Imports Infragistics.UltraChart.Shared.Styles ... Dim override1 As New Override() override1.Column = -2 ' match all data columns override1.Row = 0 ' row #0 only override1.PE = _ New PaintElement(Color.Blue, Color.Silver, 255, 150, _ GradientStyle.ForwardDiagonal, PaintElementType.Gradient) Me.ultraChart1.Override.Add(override1) Dim override2 As New Override() override2.Column = 1 ' column #1 only override2.Row = -2 ' match all data rows override2.PE = New PaintElement(Color.Orange) Me.ultraChart1.Override.Add(override2) Dim override3 As New Override() override3.Column = 1 ' column #1 only override3.Row = 0 ' row #0 only override3.PE = New PaintElement(Color.HotPink) Me.ultraChart1.Override.Add(override3) ' override3, the last override added to the collection, ' takes precedent over all previous overrides. Me.ultraChart1.InvalidateLayers()
In C#:
using Infragistics.UltraChart.Resources.Appearance; using Infragistics.UltraChart.Shared.Styles; ... Override override1 = new Override(); override1.Column = -2; // match all data columns override1.Row = 0; // row #0 only; override1.PE = new PaintElement(Color.Blue, Color.Silver, 255, 150, GradientStyle.ForwardDiagonal, PaintElementType.Gradient); this.ultraChart1.Override.Add(override1); Override override2 = new Override(); override2.Column = 1; // column #1 only override2.Row = -2; // match all data rows override2.PE = new PaintElement(Color.Orange); this.ultraChart1.Override.Add(override2); Override override3 = new Override(); override3.Column = 1; // column #1 only override3.Row = 0; // row #0 only override3.PE = new PaintElement(Color.HotPink); this.ultraChart1.Override.Add(override3); // override3, the last override added to the collection, // takes precedent over all previous overrides. this.ultraChart1.InvalidateLayers();